








The Cutting Edge 1 - The Open Sicilian 1
This book is the first in a new series from Quality Chess examining the cutting edge of opening theory. The idea is to identify the most important theoretical battlegrounds of the moment and then analyse as deeply as possible in search of improvements. Thus the reader will be ahead of the current state-of-the-art, rather than lagging behind trying to memorize old games.
In The Cutting Edge1 - The Open Sicilian 1 the variations covered are:
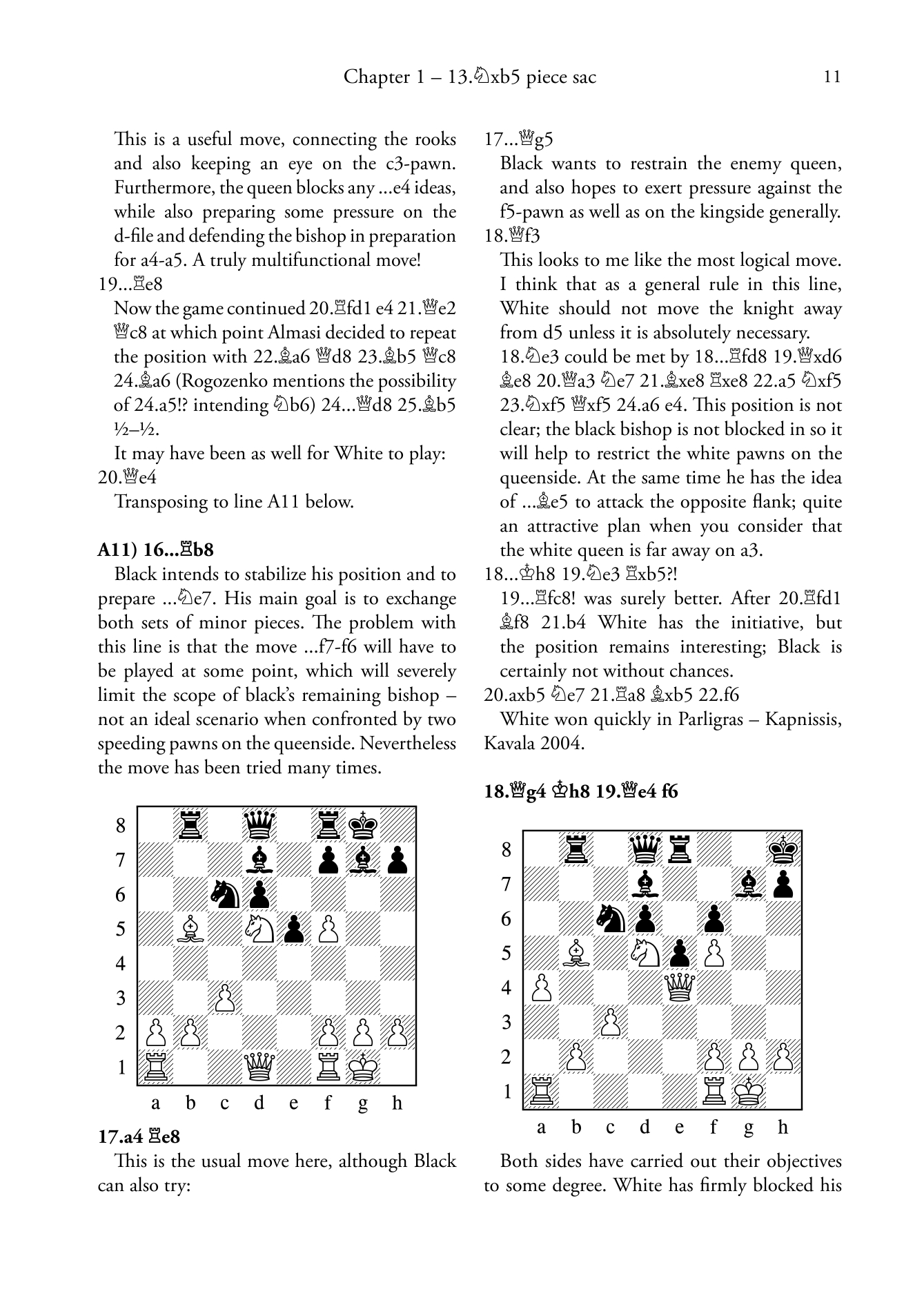
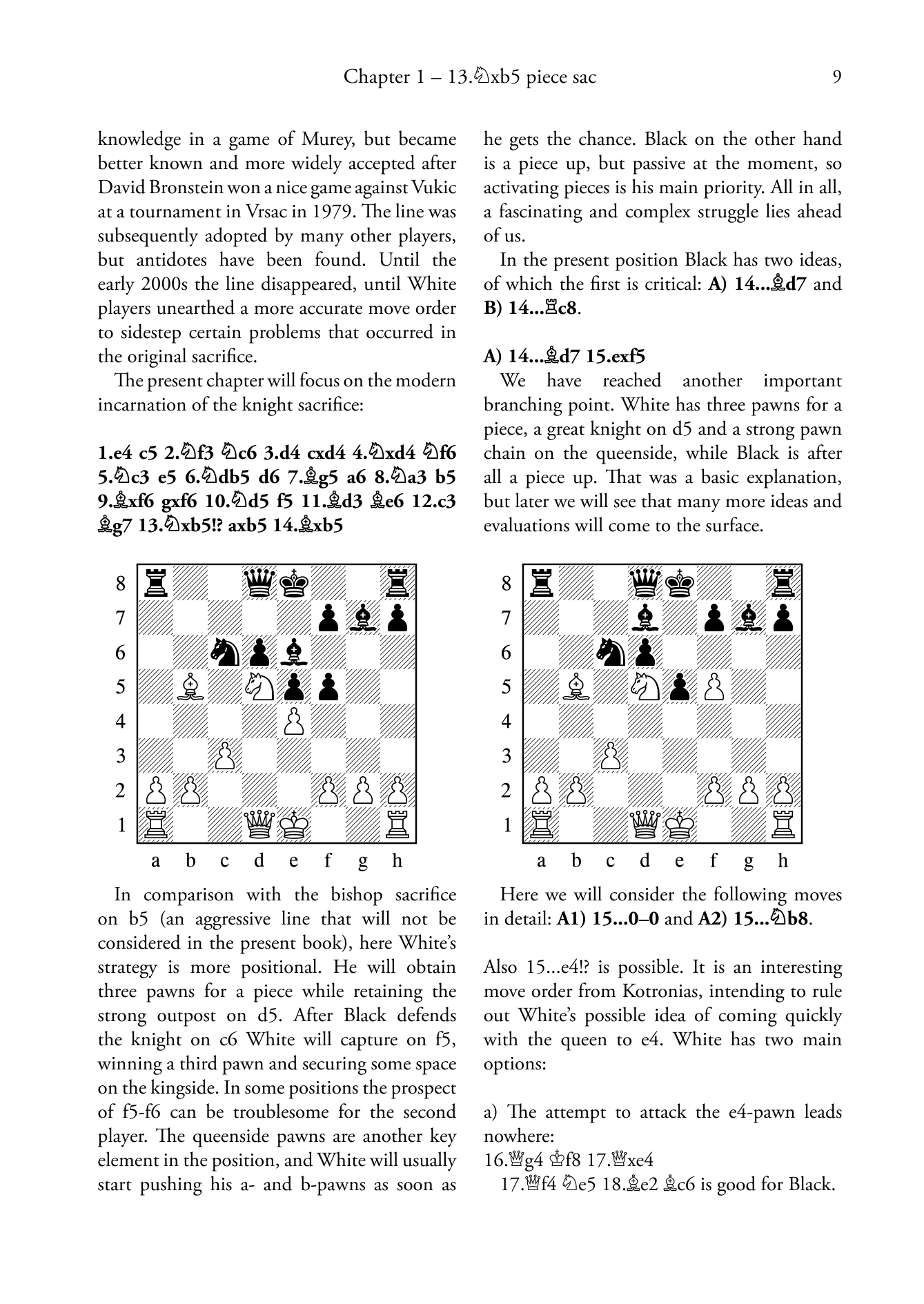
Sveshnikov 13.Nxb5 piece sac: 9.Bxf6 gxf6 10.Nd5 f5 11.Bd3 Be6 12.c3 Bg7 13.Nxb5 axb5 14.Bxb5
Sveshnikov 18.h4 pawn sac: 9.Nd5 Be7 10.Bxf6 Bxf6 11.c3 0–0 12.Nc2 Bg5 13.a4 bxa4 14.Rxa4 a5 15.Bc4 Rb8 16.b3 Kh8 17.Nce3 g6 18.h4!?
Sveshnikov: 9.Nd5 Be7 10.Bxf6 Bxf6 11.c4
Rauzer, doubled f-pawn variation: 6.Bg5 e6 7.Qd2 a6 8.0–0–0 Bd7 9.f4 b5 10.Bxf6 gxf6
Chinese Dragon: 9.Bc4 Bd7 10.0–0–0 Rb8
Dragon, 12...Re8 system: 9.Bc4 Bd7 10.0–0–0 Rc8 11.Bb3 Ne5 12.Kb1 Re8
Dragon, Topalov variation: 9.Bc4 Bd7 10.0–0–0 Rc8 11.Bb3 Nxd4 12.Bxd4 b5
Taimanov, English Attack main line: 5.Nc3 Qc7 6.Be3 a6 7.Qd2 Nf6 8.f3 Bb4 9.0–0–0
Taimanov, English Attack with 8... Be7: 5.Nc3 Qc7 6.Be3 a6 7.Qd2 Nf6 8.0–0–0 Be7 9.f3
Taimanov with 5...a6: 5.Nc3 a6 6.Nxc6 bxc6 7.Bd3
Kan: 5.Nc3 Qc7 6.Bd3 Nf6 7.0-0 Bc5
Kan: 5.Bd3 Bc5
The Najdorf is covered in The Cutting Edge: The Open Sicilian 2.
Milos Pavlovic is a highly experienced Serbian grandmaster and former Yugoslav Champion, whose analysis is regularly featured in New in Chess and Chess Informant. This is his first book for Quality Chess.
ISBN: 978-1-906552-57-2 168 pages - Published 31 March 2010
"It is clear that Pavlovic has invested immense effort in making the books as comprehensive, up-to-date and helpful as possible... These books can be given the highest recommendation to serious over-the-board and correspondence players who want to have the best available information on the chosen variations in a well organised and well-packaged form. *****"
Phil Adams
"I recommend The Open Sicilian 1 for players that are interested in how various lines in the Sicilian might be refuted according to the current cutting edge theory and are looking for valuable new ideas that would work very well as surprise weapons. 4 Stars"
GM Hedinn Steingrimsson, Chess Today
"This is the first in an exciting new series from Quality Chess which examines the absolute cutting edge of opening theory. The big idea is to identify the most important current theoretical battlegrounds and analyse them as deeply as possible in search of improvements and important ideas. So, irrespective of which colour you play, you will have access to the very latest material backed up by original analysis from a seasoned Grandmaster. This volume offers three(!) ways to try to beat the Sveshnikov... Amazing! Regular readers of this column will know how unimpressed I have been with some of the recent published attempts on how to play against this defence but here we have three highly instructive and well researched weapons. All three lines are dealt with in impressive detail (as are all the chapters in the book) and the serious CC player will not be disappointed.
As well as combating the Pelikan, there are three chapters on the 9.Bc4 Yugoslav Dragon dealing with the Chinese (Rb8 instead of Rc8), 12 Kb1 Re8 and Topalov (Nxd4 and early b5) variations, three Chapters on the Taimanov and two more on the Kan complete the work. Offering different ideas against a Main Line is a very interesting concept and, given that so much information is packed into this thin volume, I would have to say it is one of the most impressive opening books I have ever seen."
John Anderson, BCCA
"This book, the first in a new series from Quality Chess, is aimed at those who want an up to date guide of where theory stands (and where it is likely to head) in important theoretical battlegrounds... This approach is something new. The analysis is more detailed and the coverage more cohesive than offered in most New in Chess Yearbook Surveys or at Chess Publishing.com. The lines examined are definitely more critical than those featured in the SOS series by New in Chess...
Pavlovic does a good job of getting to the core of the lines he covers. There is enough prose to put things into context and explain what is going on, but not so much as to overwhelm the analysis...Everyone can analyze key opening positions with Rybka and Fritz but with The Cutting Edge: The Open Sicilian you get this plus an acknowledged expert on the relevant variations who can explain the nuances and understands the sort of positions where computer engines are likely to make mistaken evaluations...
The Cutting Edge: The Open Sicilian 1 can be warmly recommended to two groups. The first is players rated above 2200 who play either side of the variations covered and the second is fans of sharp-edged opening theory."
IM John Donaldson
Nikt jeszcze nie napisał recenzji do tego produktu. Bądź pierwszy i napisz recenzję.
Tylko zarejestrowani klienci mogą pisać recenzje do produktów. Jeżeli posiadasz konto w naszym sklepie zaloguj się na nie, jeżeli nie załóż bezpłatne konto i napisz recenzję.
Czas wysyłki:Jeszcze dziś !
Koszt wysyłki:od 10,00 zł
Numer katalogowy:9781906552572
Kod EAN:9781906552572
Waga:0,31 kg
Producent:Wydawnictwo Quality Chess
1 osoba kupiła 1 produkt

Szachy od wieków fascynują ludzi na całym świecie. Choć wielu osobom wydaje się, że to gra tylko dla mistrzów i geniuszy, prawda jest zupełnie inna. Każdy może nauczyć się grać w szachy, a pierwsze kroki są znacznie prostsze, niż się wydaje. ♟️
Jak przygotować się do turnieju szachowego?♟️ Kulisy gry, której nie widać na szachownicy ✨
Udział w turniejach szachowych to nie tylko sprawdzian umiejętności, ale i prawdziwa przygoda – emocjonalna, intelektualna i organizacyjna. Jeśli planujesz zadebiutować lub wracasz na szachowe areny, warto wiedzieć, jak się przygotować i co naprawdę dzieje się za kulisami takich wydarzeń.
