








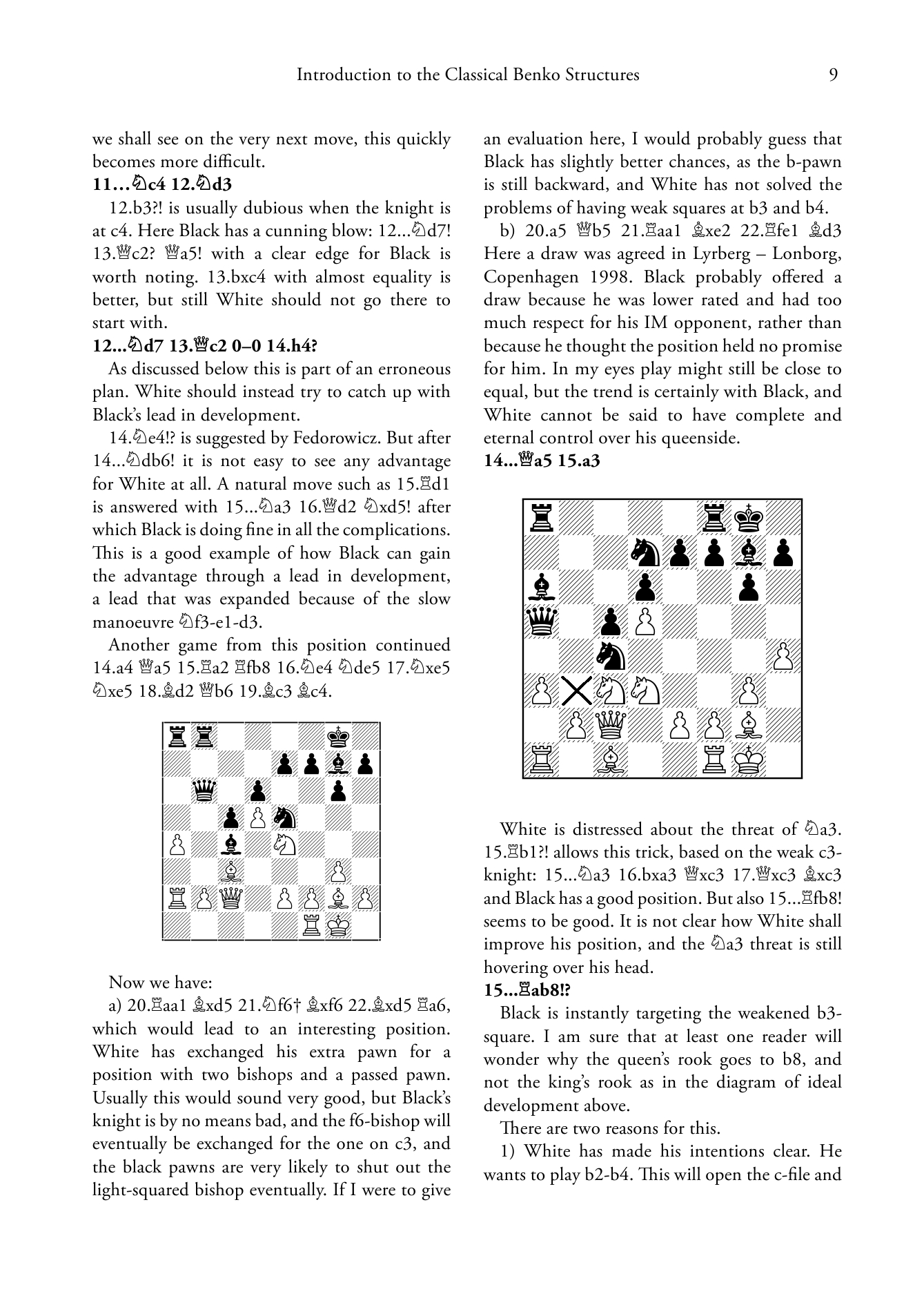
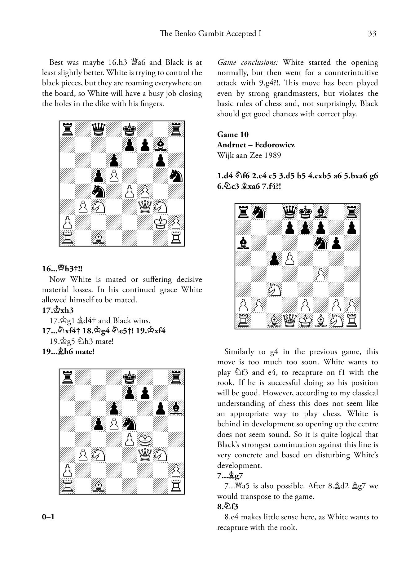
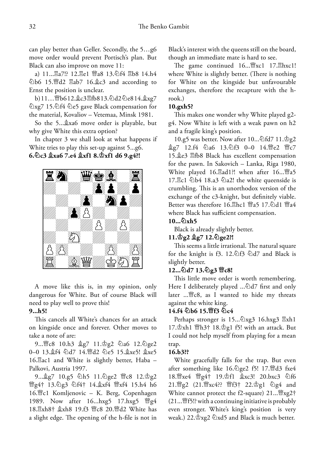
The Benko Gambit is one of the most dynamic defences for Black against 1.d4 and is favoured by world class players such as Veselin Topalov and Alexander Khalifman both of whom have used this defence to score memorable victories. The dynamic counter play Black receives in return for the sacrificed queenside pawns gives Black compensation, often lasting all the way into the endgame.
In this entertaining and instructive book renowned theoretician Jan Pinski clearly identifies the critical lines every player needs too know in order to play this opening, and clearly explains the core ideas in the opening.
Besides being completely up-to-date and thoroughly researched, the book also contains a large amount of new analysis, including the currently popular Epishin Variation.
ISBN 978-91-975243-8-4 - 128 pages - Published November 2005
Nikt jeszcze nie napisał recenzji do tego produktu. Bądź pierwszy i napisz recenzję.
Tylko zarejestrowani klienci mogą pisać recenzje do produktów. Jeżeli posiadasz konto w naszym sklepie zaloguj się na nie, jeżeli nie załóż bezpłatne konto i napisz recenzję.
Czas wysyłki:Natychmiast
Koszt wysyłki:od 10,00 zł
Numer katalogowy:9789197524384
Kod EAN:9789197524384
Waga:0,56 kg
Producent:Wydawnictwo Quality Chess
2 osoby kupiły 2 produkty

Szachy od wieków fascynują ludzi na całym świecie. Choć wielu osobom wydaje się, że to gra tylko dla mistrzów i geniuszy, prawda jest zupełnie inna. Każdy może nauczyć się grać w szachy, a pierwsze kroki są znacznie prostsze, niż się wydaje. ♟️
Jak przygotować się do turnieju szachowego?♟️ Kulisy gry, której nie widać na szachownicy ✨
Udział w turniejach szachowych to nie tylko sprawdzian umiejętności, ale i prawdziwa przygoda – emocjonalna, intelektualna i organizacyjna. Jeśli planujesz zadebiutować lub wracasz na szachowe areny, warto wiedzieć, jak się przygotować i co naprawdę dzieje się za kulisami takich wydarzeń.
