
















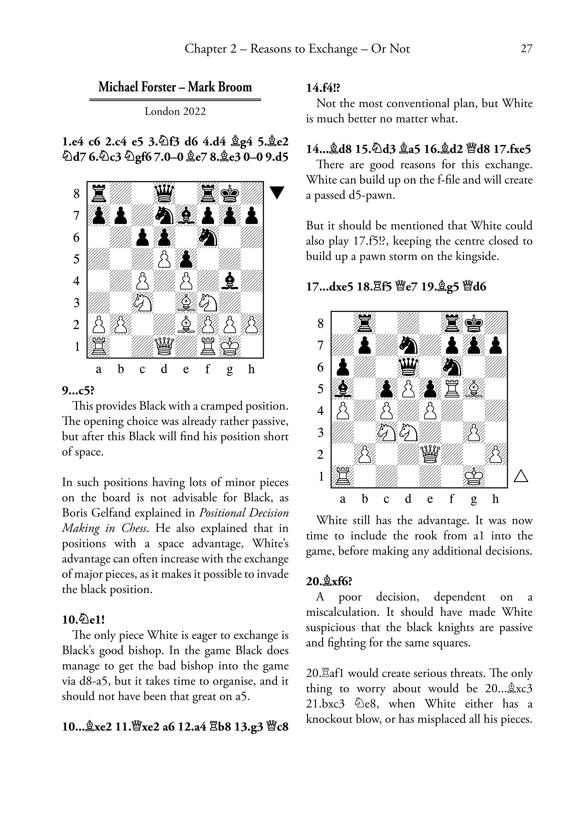
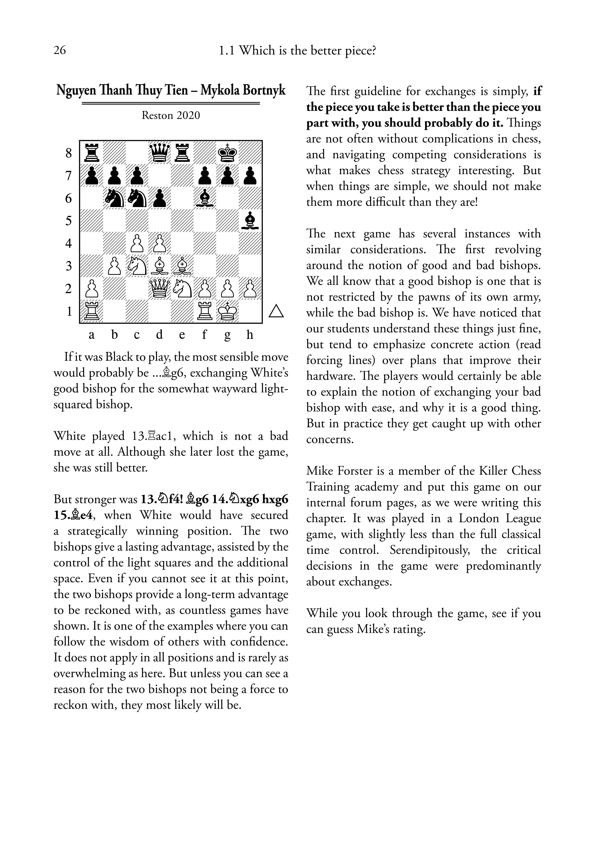
Few books have dealt with the topic of exchanges in chess, leaving this important part of chess strategy a mystery to most. In Mastering Chess Exchanges, grandmasters Jacob Aagaard and Renier Castellanos break down the topic into crystal-clear themes, including piece preferences, tension, weaknesses, colour complexes, king safety and endgames, illustrating the concepts with illuminating examples.
Then the reader is given a chance to turn understanding into skill, with 365 instructive exercises, featuring a novel, multiple-choice format designed to focus the reader’s attention on possible exchanges.
Nikt jeszcze nie napisał recenzji do tego produktu. Bądź pierwszy i napisz recenzję.
Tylko zarejestrowani klienci mogą pisać recenzje do produktów. Jeżeli posiadasz konto w naszym sklepie zaloguj się na nie, jeżeli nie załóż bezpłatne konto i napisz recenzję.
Czas wysyłki:Natychmiast
Koszt wysyłki:od 10,00 zł
Numer katalogowy:9781784832452
Kod EAN:9781784832452
Waga:0,51 kg
Producent:Wydawnictwo Quality Chess
8 osób kupiło 8 produktów

Szachy od wieków fascynują ludzi na całym świecie. Choć wielu osobom wydaje się, że to gra tylko dla mistrzów i geniuszy, prawda jest zupełnie inna. Każdy może nauczyć się grać w szachy, a pierwsze kroki są znacznie prostsze, niż się wydaje. ♟️
Jak przygotować się do turnieju szachowego?♟️ Kulisy gry, której nie widać na szachownicy ✨
Udział w turniejach szachowych to nie tylko sprawdzian umiejętności, ale i prawdziwa przygoda – emocjonalna, intelektualna i organizacyjna. Jeśli planujesz zadebiutować lub wracasz na szachowe areny, warto wiedzieć, jak się przygotować i co naprawdę dzieje się za kulisami takich wydarzeń.
