










Georgy Lisitsin (1909-72) was a respected Soviet master, theoretician and writer. In 1958 he published a revised edition of his most ambitious work, entitled Strategy and Tactics of Chess, which became one of the most legendary manuals in the Soviet chess school, and no doubt one of the books that motivated the young Bobby Fischer to learn Russian.
Lisitsin broke down Strategy and Tactics into their key constituent elements, enabling players of all levels to study chess systematically, learning from carefully selected game fragments and studies. Key Elements of Chess Tactics and its companion volume Key Elements of Chess Strategy are the first ever complete English translations of Lisitsin’s classic.
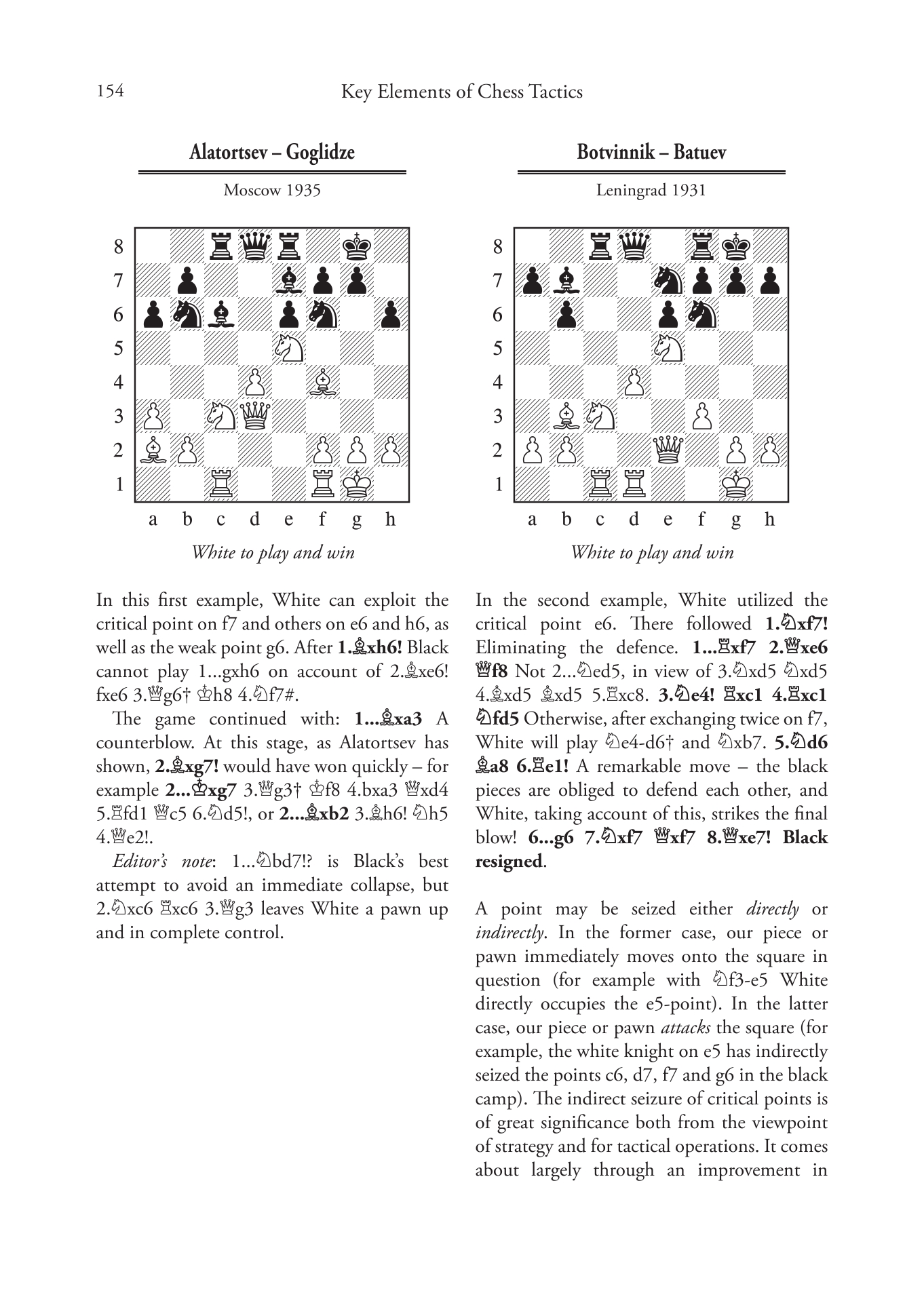
In Key Elements of Chess Tactics, Lisitsin illustrates key tactical concepts such as pinning, discovered attacks and checks, deflection, interference and many more, building a foundation before moving on to more complex and beautiful tactical themes.
Nikt jeszcze nie napisał recenzji do tego produktu. Bądź pierwszy i napisz recenzję.
Tylko zarejestrowani klienci mogą pisać recenzje do produktów. Jeżeli posiadasz konto w naszym sklepie zaloguj się na nie, jeżeli nie załóż bezpłatne konto i napisz recenzję.
Czas wysyłki:Natychmiast
Koszt wysyłki:od 10,00 zł
Numer katalogowy:9781784832070
Kod EAN:9781784832070
Waga:0,93 kg
Producent:Wydawnictwo Quality Chess

Szachy od wieków fascynują ludzi na całym świecie. Choć wielu osobom wydaje się, że to gra tylko dla mistrzów i geniuszy, prawda jest zupełnie inna. Każdy może nauczyć się grać w szachy, a pierwsze kroki są znacznie prostsze, niż się wydaje. ♟️
Jak przygotować się do turnieju szachowego?♟️ Kulisy gry, której nie widać na szachownicy ✨
Udział w turniejach szachowych to nie tylko sprawdzian umiejętności, ale i prawdziwa przygoda – emocjonalna, intelektualna i organizacyjna. Jeśli planujesz zadebiutować lub wracasz na szachowe areny, warto wiedzieć, jak się przygotować i co naprawdę dzieje się za kulisami takich wydarzeń.
