










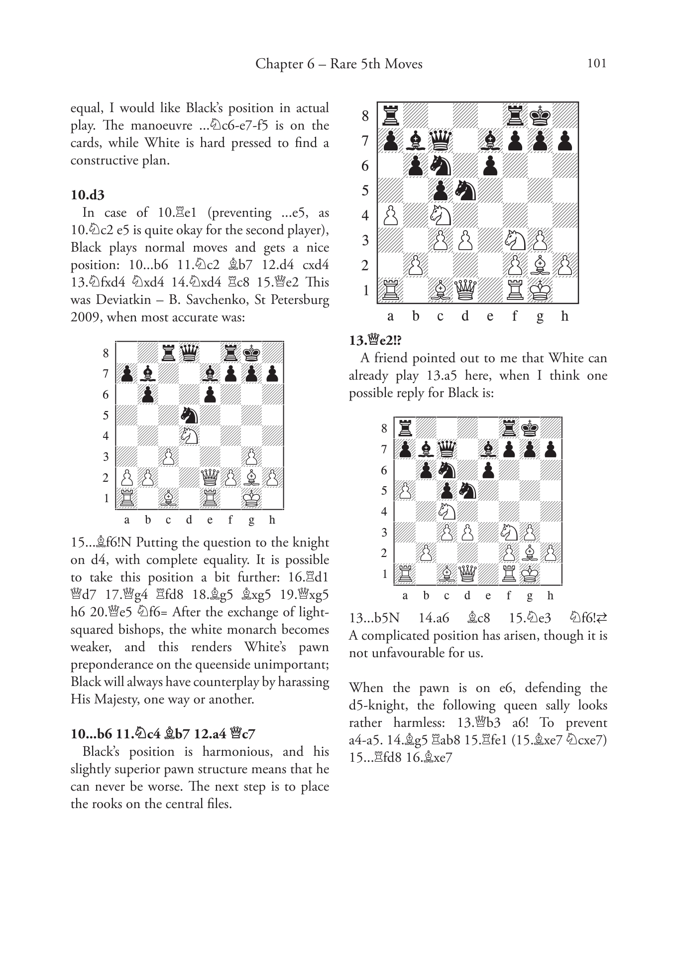
Książka w miękkiej okładce, wydanie w języku angielskim.
The Sicilian Defence is the most combative way to meet 1.e4, but Black’s hopes of reaching his favourite Dragon, Najdorf or Sveshnikov are often quashed at an early stage. In Grandmaster Repertoire 6A – Beating the Anti-Sicilians, grandmaster Vassilios Kotronias provides full coverage against White’s many attempts to steer the game away from Open Sicilian territory. Beginning with sidelines on move 2, and extending all the way to variations tested at World Championship level, the author provides expert recommendations against all White’s sensible deviations (as well as some not-so-sensible ones!) with specific advice tailored for 2...d6, 2...e6 and 2...Nc6 players.
Be it tackling Wing and Morra Gambits head first, outmanoeuvring 2.c3 and Closed aficionados, bashing 3.Bb5† or ruining the Rossolimo, this book contains everything you need to make your opponents wish they had played 2.Nf3 and 3.d4!
Vassilios Kotronias is an experienced grandmaster and ten-time Greek Champion. A Sicilian expert, he is feared for his profound opening preparation.
ISBN 978-1-907982-63-7 - 504 pages - Published 9 December 2015
Nikt jeszcze nie napisał recenzji do tego produktu. Bądź pierwszy i napisz recenzję.
Tylko zarejestrowani klienci mogą pisać recenzje do produktów. Jeżeli posiadasz konto w naszym sklepie zaloguj się na nie, jeżeli nie załóż bezpłatne konto i napisz recenzję.
Czas wysyłki:Jeszcze dziś !
Koszt wysyłki:od 10,00 zł
Numer katalogowy:9781907982637
Kod EAN:9781907982637
Waga:0,85 kg
Producent:Wydawnictwo Quality Chess
5 osób kupiło 5 produktów

Szachy od wieków fascynują ludzi na całym świecie. Choć wielu osobom wydaje się, że to gra tylko dla mistrzów i geniuszy, prawda jest zupełnie inna. Każdy może nauczyć się grać w szachy, a pierwsze kroki są znacznie prostsze, niż się wydaje. ♟️
Jak przygotować się do turnieju szachowego?♟️ Kulisy gry, której nie widać na szachownicy ✨
Udział w turniejach szachowych to nie tylko sprawdzian umiejętności, ale i prawdziwa przygoda – emocjonalna, intelektualna i organizacyjna. Jeśli planujesz zadebiutować lub wracasz na szachowe areny, warto wiedzieć, jak się przygotować i co naprawdę dzieje się za kulisami takich wydarzeń.
