










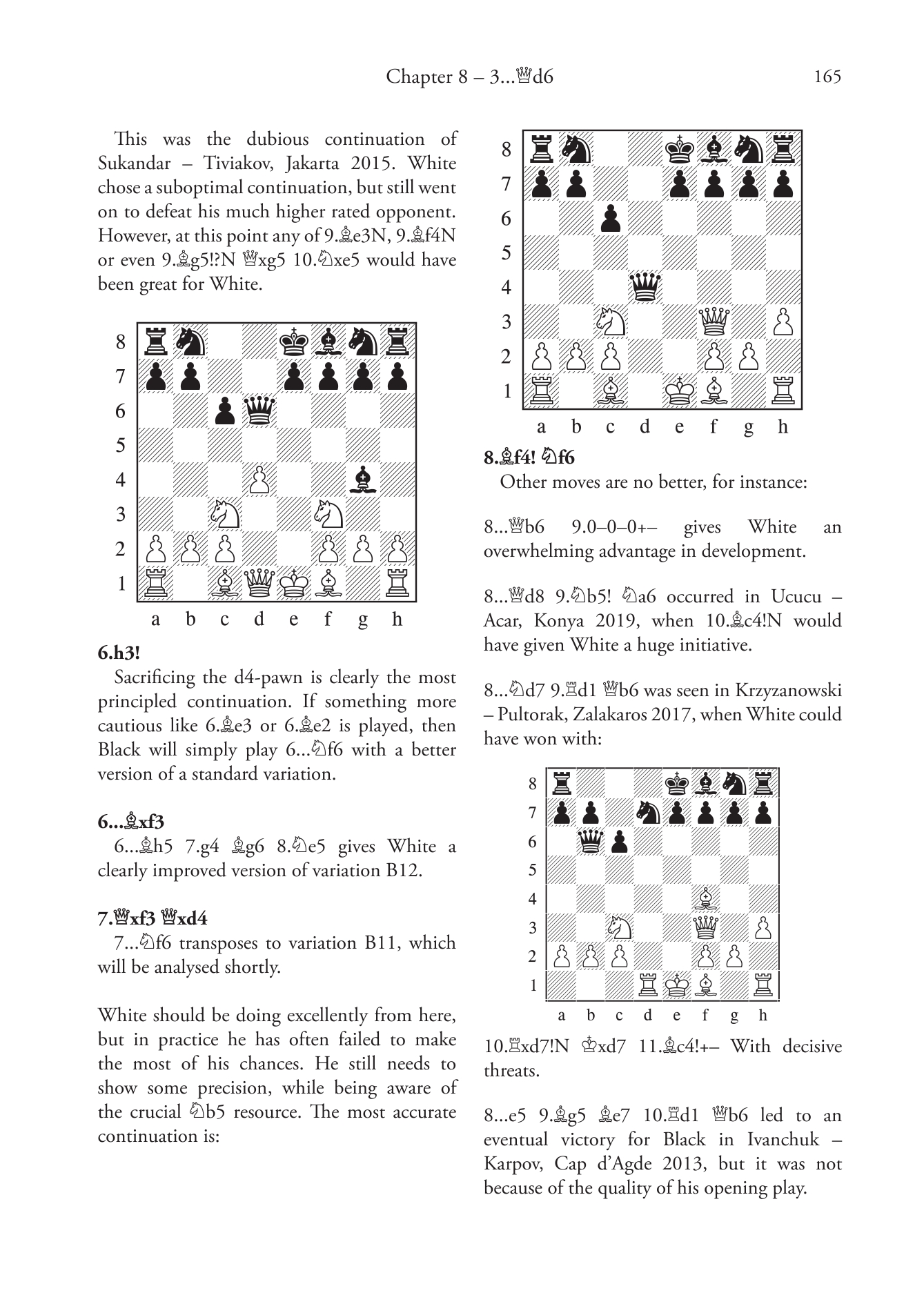
The fifth volume of the Grandmaster Repertoire – 1.e4 series provides a top-class repertoire against the Alekhine, Scandinavian, Pirc and Modern Defences, plus various offbeat alternatives Black may try. Negi’s latest work continues the winning formula of his previous books: the 1.e4 repertoire is founded on established main lines and turbo-charged with the innovative ideas of a world-class theoretician, making this an essential addition to the library of every ambitious player.
Parimarjan Negi is a former child prodigy who became a Grandmaster at the age of 13. He was Asian Champion in 2012, and played on Board 1 for the Indian team which won bronze medals at the Tromsø 2014 Olympiad.
432 pages - Published 30 September 2020
Paperback ISBN: 978-1-78483-077-9
Hardcover ISBN: 978-1-78483-078-6
Reviews of the previous volumes:
“His books on the Sicilian are absolutely fabulous.” GM Simen Agdestein, New in Chess
“It’s so good! It shows everything that you need to produce world-class preparation... Negi’s book is absolutely stunning. My jaw kept dropping at the attacking ideas that Negi exposes... Once again this is a work of the very highest quality.” GM Matthew Sadler, New in Chess
“When I review a new book, I review HARD, and I go out of my way to look for holes. This makes it difficult for any author to meet my high expectations, but Negi continues to impress me... Another Negi book, another five stars.” GM David Smerdon
Nikt jeszcze nie napisał recenzji do tego produktu. Bądź pierwszy i napisz recenzję.
Tylko zarejestrowani klienci mogą pisać recenzje do produktów. Jeżeli posiadasz konto w naszym sklepie zaloguj się na nie, jeżeli nie załóż bezpłatne konto i napisz recenzję.
Czas wysyłki:Natychmiast
Koszt wysyłki:od 10,00 zł
Numer katalogowy:9781784830779
Kod EAN:9781784830779
Waga:0,83 kg
Producent:Wydawnictwo Quality Chess
7 osób kupiło 8 produktów

Szachy od wieków fascynują ludzi na całym świecie. Choć wielu osobom wydaje się, że to gra tylko dla mistrzów i geniuszy, prawda jest zupełnie inna. Każdy może nauczyć się grać w szachy, a pierwsze kroki są znacznie prostsze, niż się wydaje. ♟️
Jak przygotować się do turnieju szachowego?♟️ Kulisy gry, której nie widać na szachownicy ✨
Udział w turniejach szachowych to nie tylko sprawdzian umiejętności, ale i prawdziwa przygoda – emocjonalna, intelektualna i organizacyjna. Jeśli planujesz zadebiutować lub wracasz na szachowe areny, warto wiedzieć, jak się przygotować i co naprawdę dzieje się za kulisami takich wydarzeń.
