










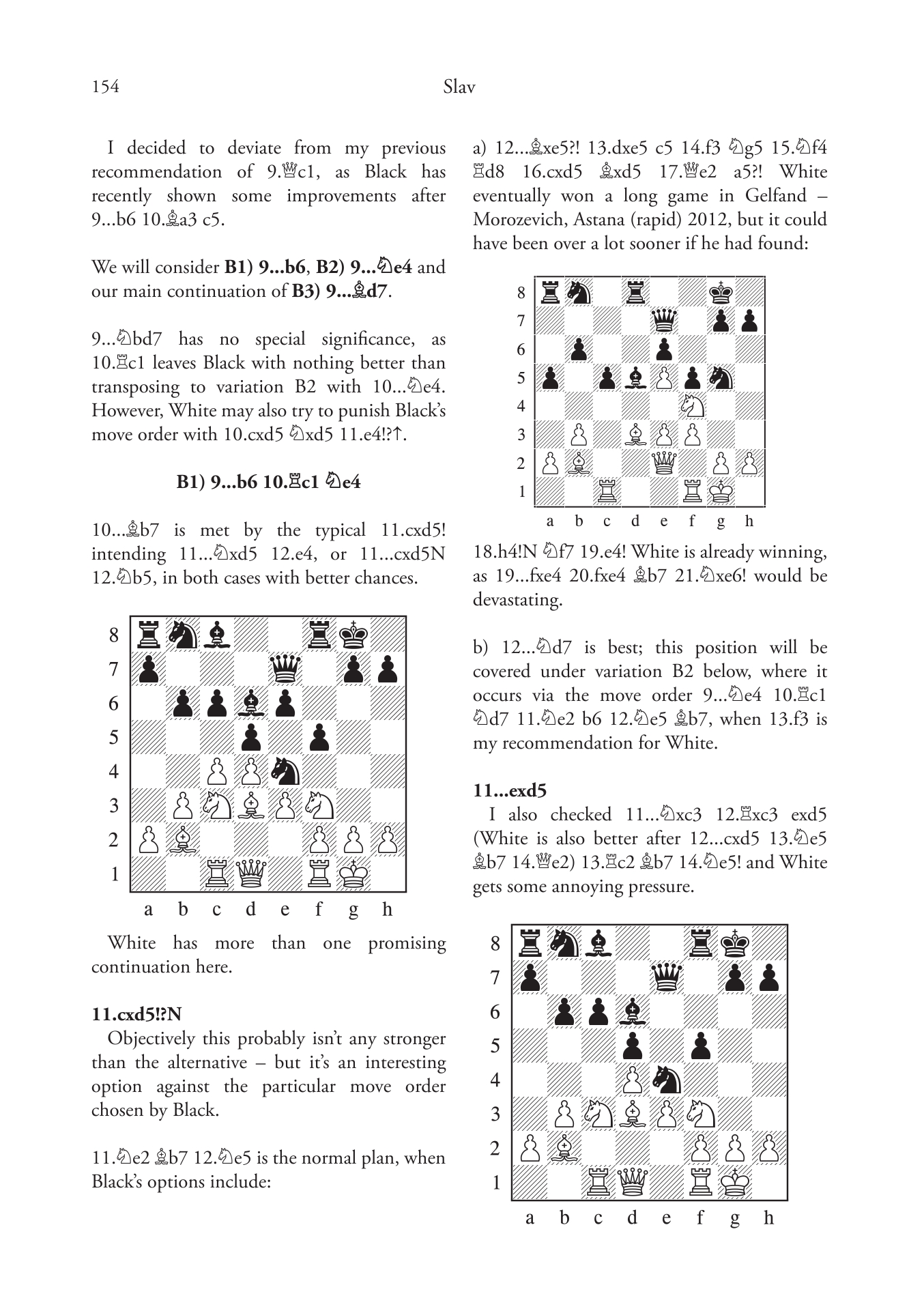
When Boris Avrukh released his 1.d4 repertoire in 2008, it revolutionized chess opening books. As GM Michael Adams said: “The high-quality Grandmaster Repertoire series has taken this format to a completely different level.” Or as GM Glenn Flear put it: “This book represents nothing short of a technological advance in chess opening theory.”
Now Avrukh is back with an expanded, updated and revamped 1.d4 repertoire. Having covered the Catalan in the first instalment, Volume 1B supplies a top-class repertoire for White with the Queen’s Gambit, covering defences such as the Slav, Queen’s Gambit Accepted, Chigorin, Tarrasch and various others. The repertoire will be completed in Volumes 2A and 2B.
Boris Avrukh is a grandmaster from Israel. He is an Olympiad gold medallist, former World Junior Champion and analysis partner of World Championship finalists.
ISBN: 978-1-907982-90-3 - 400 pages - Published 31 August 2016
Nikt jeszcze nie napisał recenzji do tego produktu. Bądź pierwszy i napisz recenzję.
Tylko zarejestrowani klienci mogą pisać recenzje do produktów. Jeżeli posiadasz konto w naszym sklepie zaloguj się na nie, jeżeli nie załóż bezpłatne konto i napisz recenzję.
Czas wysyłki:Natychmiast
Koszt wysyłki:od 10,00 zł
Numer katalogowy:9781907982910
Kod EAN:9781907982910
Waga:0,83 kg
Producent:Wydawnictwo Quality Chess
1 osoba kupiła 1 produkt

Szachy od wieków fascynują ludzi na całym świecie. Choć wielu osobom wydaje się, że to gra tylko dla mistrzów i geniuszy, prawda jest zupełnie inna. Każdy może nauczyć się grać w szachy, a pierwsze kroki są znacznie prostsze, niż się wydaje. ♟️
Jak przygotować się do turnieju szachowego?♟️ Kulisy gry, której nie widać na szachownicy ✨
Udział w turniejach szachowych to nie tylko sprawdzian umiejętności, ale i prawdziwa przygoda – emocjonalna, intelektualna i organizacyjna. Jeśli planujesz zadebiutować lub wracasz na szachowe areny, warto wiedzieć, jak się przygotować i co naprawdę dzieje się za kulisami takich wydarzeń.
