
















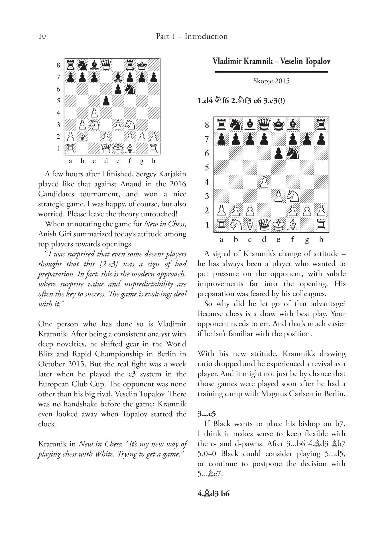
When Axel Smith was chasing his final Grandmaster norm, he decided he needed a change in his White opening repertoire. Instead of his usual approach of memorizing many concrete moves to try to force an advantage, he would focus on pawn structures and typical plans. The result was a repertoire based on a set-up with the moves d4, Nf3, c4 and e3. It helped Axel Smith to the GM title, and led to the creation of e3 Poison.
This repertoire can be played using many different move orders, and Smith explains their pros and cons. The reader will not have to memorize many moves, but hard work is still essential to understand the themes, so many exercises are provided to test the reader. Smith shows that a practical repertoire can also be a grandmaster repertoire – it is all about understanding the positional themes and plans.
Grandmaster Axel Smith from Sweden is a successful player and coach. Using his methods on himself, in the space of ten years he improved from a rating of 2093 to becoming a Grandmaster. His previous book for Quality Chess, Pump Up Your Rating, won the ChessCafe Book of the Year prize.
ISBN: 978-1-78483-037-3 - 392 pages - Published 2 August 2017
"The charm in this book is that it's so much more than an opening manual. I liked turning the pages with a childlike feeling of 'what wonders am I about to uncover'.
Inside you can find anecdotes, quotations, comparisons, discussions about the pawn structures that might occur, and plenty of Swedish humour."
GM Glenn Flear, New In Chess Yearbook
"Swedish Grandmaster Axel Smith’s e3 Poison is one of the more original opening books to be published this century. Its author aims at no less than the creation of an entire opening repertoire based on the move e3. White aims at a setup (Nf3, e3, Be2, d4, c4 and Nc3) which can reach similar positions whether one opens 1.c4, 1.d4, 1.Nf3 or 1.e3...
e3 Poison will prove most useful for players 2200 on up who can handle the many transpositions and different middlegame pawn structures that arise."
IM John Donaldson
"Overall, the book is a must for all experienced chess players who like the closed openings and want to expand their understanding of them. I found reading it a great pleasure and I read it almost in one go. GM Smith will hopefully write a lot more of such great chess books!"
IM Dirk Schuh, Rochade Europa
Nikt jeszcze nie napisał recenzji do tego produktu. Bądź pierwszy i napisz recenzję.
Tylko zarejestrowani klienci mogą pisać recenzje do produktów. Jeżeli posiadasz konto w naszym sklepie zaloguj się na nie, jeżeli nie załóż bezpłatne konto i napisz recenzję.
Czas wysyłki:Jeszcze dziś !
Koszt wysyłki:od 10,00 zł
Numer katalogowy:9781784830373
Kod EAN:9781784830373
Waga:0,68 kg
Producent:Wydawnictwo Quality Chess
4 osoby kupiły 4 produkty

Szachy od wieków fascynują ludzi na całym świecie. Choć wielu osobom wydaje się, że to gra tylko dla mistrzów i geniuszy, prawda jest zupełnie inna. Każdy może nauczyć się grać w szachy, a pierwsze kroki są znacznie prostsze, niż się wydaje. ♟️
Jak przygotować się do turnieju szachowego?♟️ Kulisy gry, której nie widać na szachownicy ✨
Udział w turniejach szachowych to nie tylko sprawdzian umiejętności, ale i prawdziwa przygoda – emocjonalna, intelektualna i organizacyjna. Jeśli planujesz zadebiutować lub wracasz na szachowe areny, warto wiedzieć, jak się przygotować i co naprawdę dzieje się za kulisami takich wydarzeń.
