










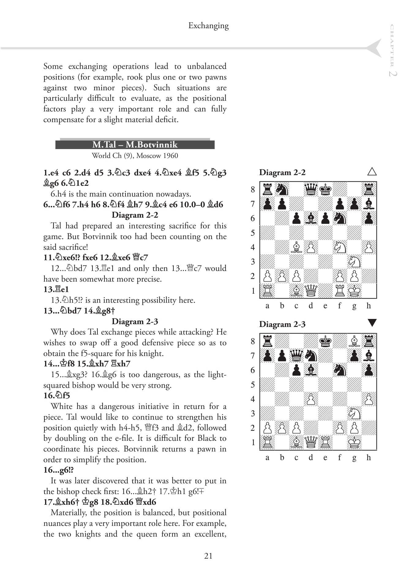
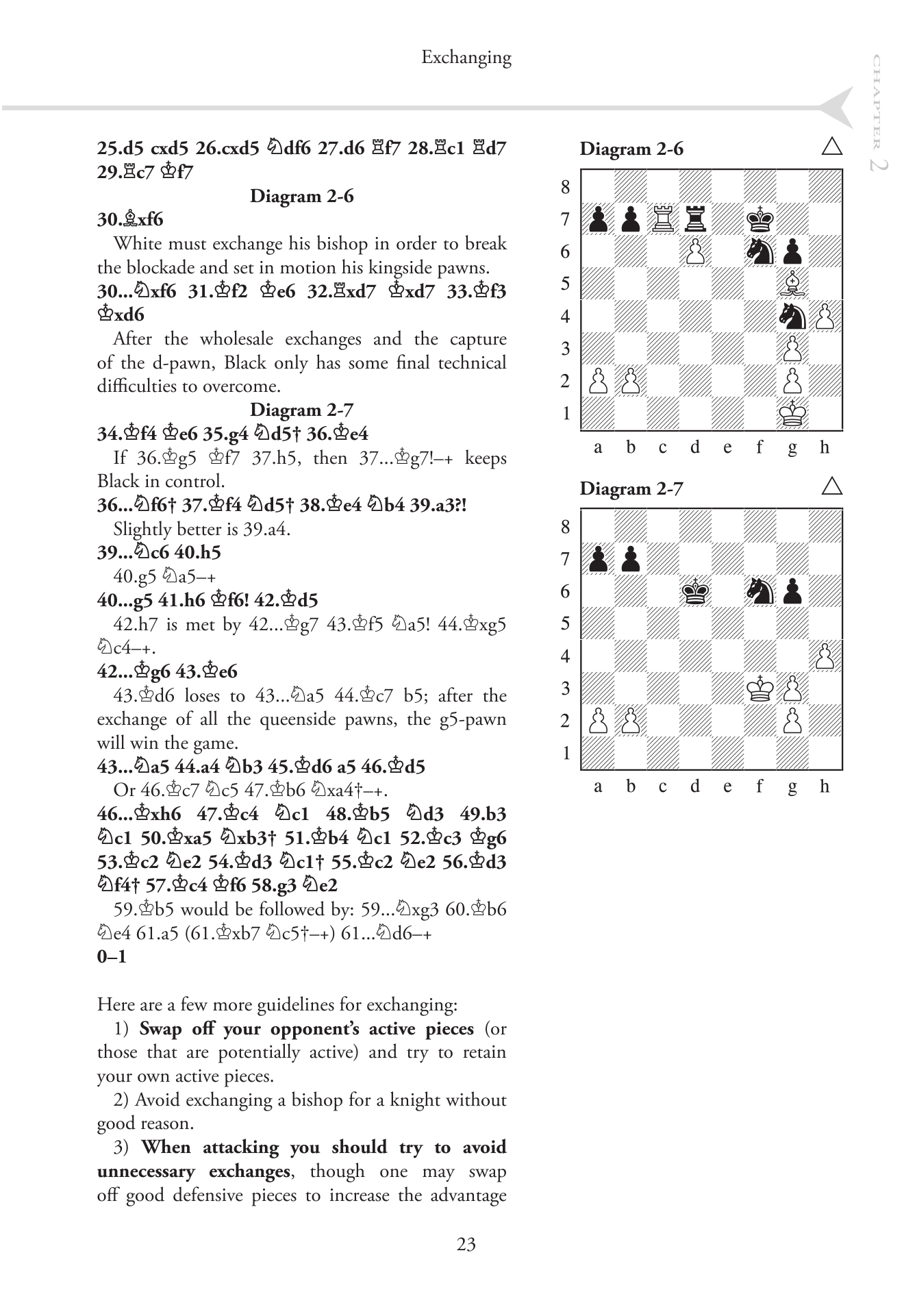
Chess Evolution 2 continues Yusupov's award-winning instructional series. The Fundamentals series shows players the basic ideas they should know, then the Beyond the Basics series sets off on the road to mastery. Yusupov guides the reader towards a higher level of chess understanding using carefully selected positions and advice. This new understanding is then tested by a series of puzzles.
Detailed information on Yusupov's award-winning training course.
Grandmaster Artur Yusupov was ranked No. 3 in the world from 1986 to 1992, just behind the legendary Karpov and Kasparov. In recent years he has mainly worked as a trainer with players ranging from current World Champion Vishy Anand and many other top grandmasters, to talented juniors and local amateurs in Germany, where he resides.
Reviews
"These books are all an improving player needs to achieve great results! Every serious player and legitimate chess coach should have the entire series. It is a far better investment than any opening book."
Michael McGuerty, ChessCafe (full review)
"As mentioned in previous reviews of this series, these books have three principle audiences. They will be useful for players wishing to increase their strength to improve their rating, for coaches looking for a structured curriculum and/or useful training material and for those who wish to increase their understanding of the game that, because of various circumstances, may no longer be able to play regularly. While Yusupov modestly cautions in his introduction that this series is not a substitute for a trainer, there can be no question that the motivated student working alone can glean much knowledge."
IM John Donaldson
Nikt jeszcze nie napisał recenzji do tego produktu. Bądź pierwszy i napisz recenzję.
Tylko zarejestrowani klienci mogą pisać recenzje do produktów. Jeżeli posiadasz konto w naszym sklepie zaloguj się na nie, jeżeli nie załóż bezpłatne konto i napisz recenzję.
Czas wysyłki:Natychmiast
Koszt wysyłki:od 10,00 zł
Numer katalogowy:9781784830885
Kod EAN:9781784830885
Waga:0,67 kg
Producent:Wydawnictwo Quality Chess
1 osoba kupiła 1 produkt

Szachy od wieków fascynują ludzi na całym świecie. Choć wielu osobom wydaje się, że to gra tylko dla mistrzów i geniuszy, prawda jest zupełnie inna. Każdy może nauczyć się grać w szachy, a pierwsze kroki są znacznie prostsze, niż się wydaje. ♟️
Jak przygotować się do turnieju szachowego?♟️ Kulisy gry, której nie widać na szachownicy ✨
Udział w turniejach szachowych to nie tylko sprawdzian umiejętności, ale i prawdziwa przygoda – emocjonalna, intelektualna i organizacyjna. Jeśli planujesz zadebiutować lub wracasz na szachowe areny, warto wiedzieć, jak się przygotować i co naprawdę dzieje się za kulisami takich wydarzeń.
