










Książka w języku angielskim.
In 2013 chess returned to world headlines. The energetic Norwegian prodigy Magnus Carlsen was front page news and his fans were not disappointed: the World Number 1 won the World Championship.
Carlsen’s Assault on the Throne gives an inside view of Carlsen’s dramatic journey: from one of eight challengers in the London Candidates tournament, with the near disaster in the final rounds, ending with triumph in Chennai.
With behind-the-scenes stories and top-level analysis of the games Kotronias & Logothetis have written the ultimate book on how Carlsen became the 16th undisputed World Champion.
Vassilios Kotronias is a grandmaster and nine-time Greek Champion. He is a key member of the Greek team as both a player and coach.
Sotiris Logothetis is a computer expert and highly-regarded arbiter and organiser.
ISBN: 978-1-906552-22-0 - 304 pages - Published 18 December 2013
"Carlsen's Assault on the Throne is a quick and really excellent piece of work. Very impressive."
GM Karsten Mueller
"Magnus Carlsen became World Champion on November 22 and less than a month later Carlsen's Assault on the Throne was published. There is a long tradition of 'instant' books on World Championships and few have had any lasting value. This book is on the short list of exceptions as everything from the game analysis, background material and beautiful color photos are first rate."
IM John Donaldson
"A wonderful book... resplendent with many beautiful pictures... a book for chess historians and chess lovers. A new top performance by Quality Chess."
Bab Wilders, Nederlands Dagblad
Nikt jeszcze nie napisał recenzji do tego produktu. Bądź pierwszy i napisz recenzję.
Tylko zarejestrowani klienci mogą pisać recenzje do produktów. Jeżeli posiadasz konto w naszym sklepie zaloguj się na nie, jeżeli nie załóż bezpłatne konto i napisz recenzję.
Czas wysyłki:Jeszcze dziś !
Koszt wysyłki:od 10,00 zł
Numer katalogowy:9781906552220
Kod EAN:9781906552220
Waga:0,79 kg
Producent:Wydawnictwo Quality Chess
2 osoby kupiły 2 produkty

Szachy od wieków fascynują ludzi na całym świecie. Choć wielu osobom wydaje się, że to gra tylko dla mistrzów i geniuszy, prawda jest zupełnie inna. Każdy może nauczyć się grać w szachy, a pierwsze kroki są znacznie prostsze, niż się wydaje. ♟️
Jak przygotować się do turnieju szachowego?♟️ Kulisy gry, której nie widać na szachownicy ✨
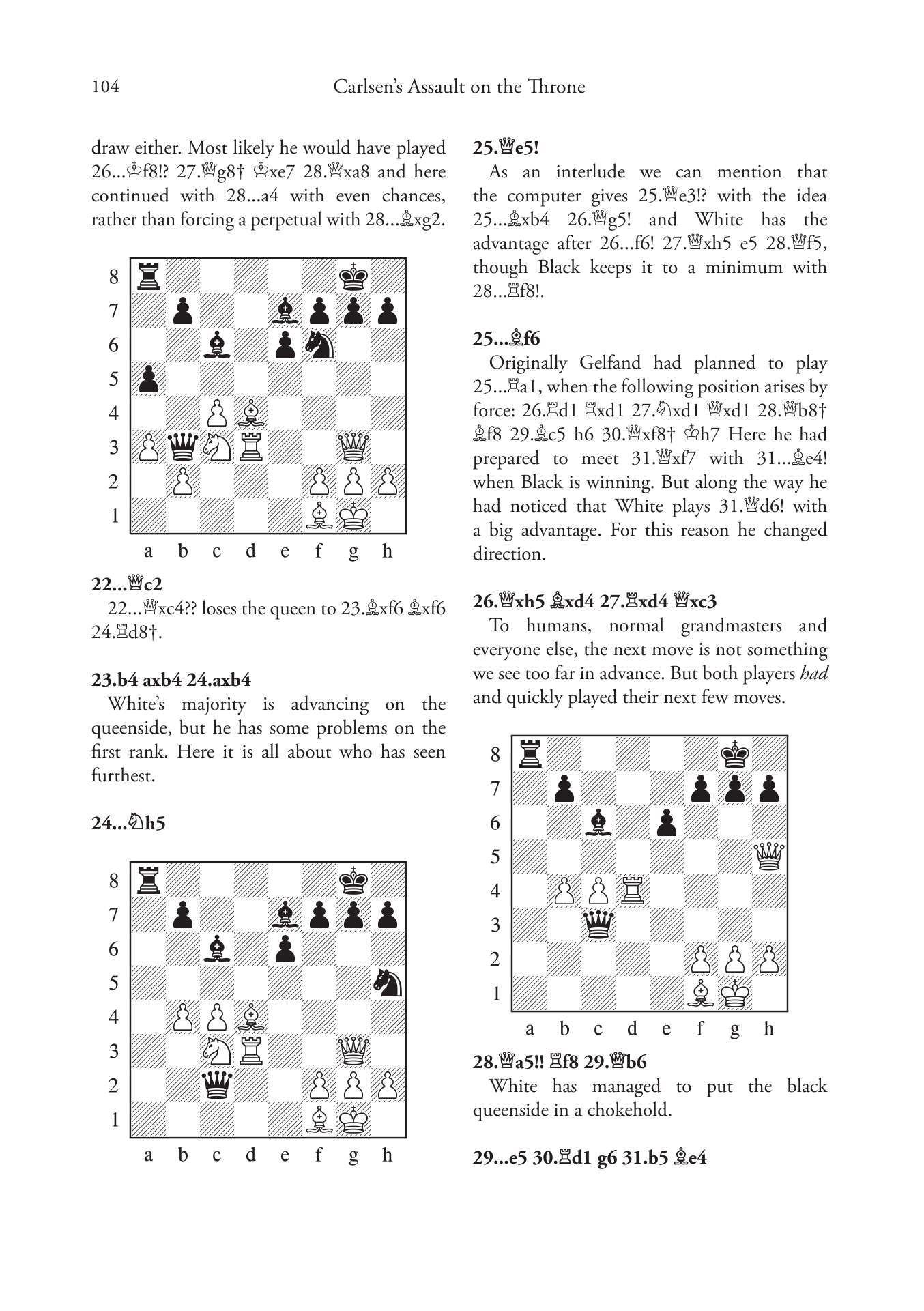
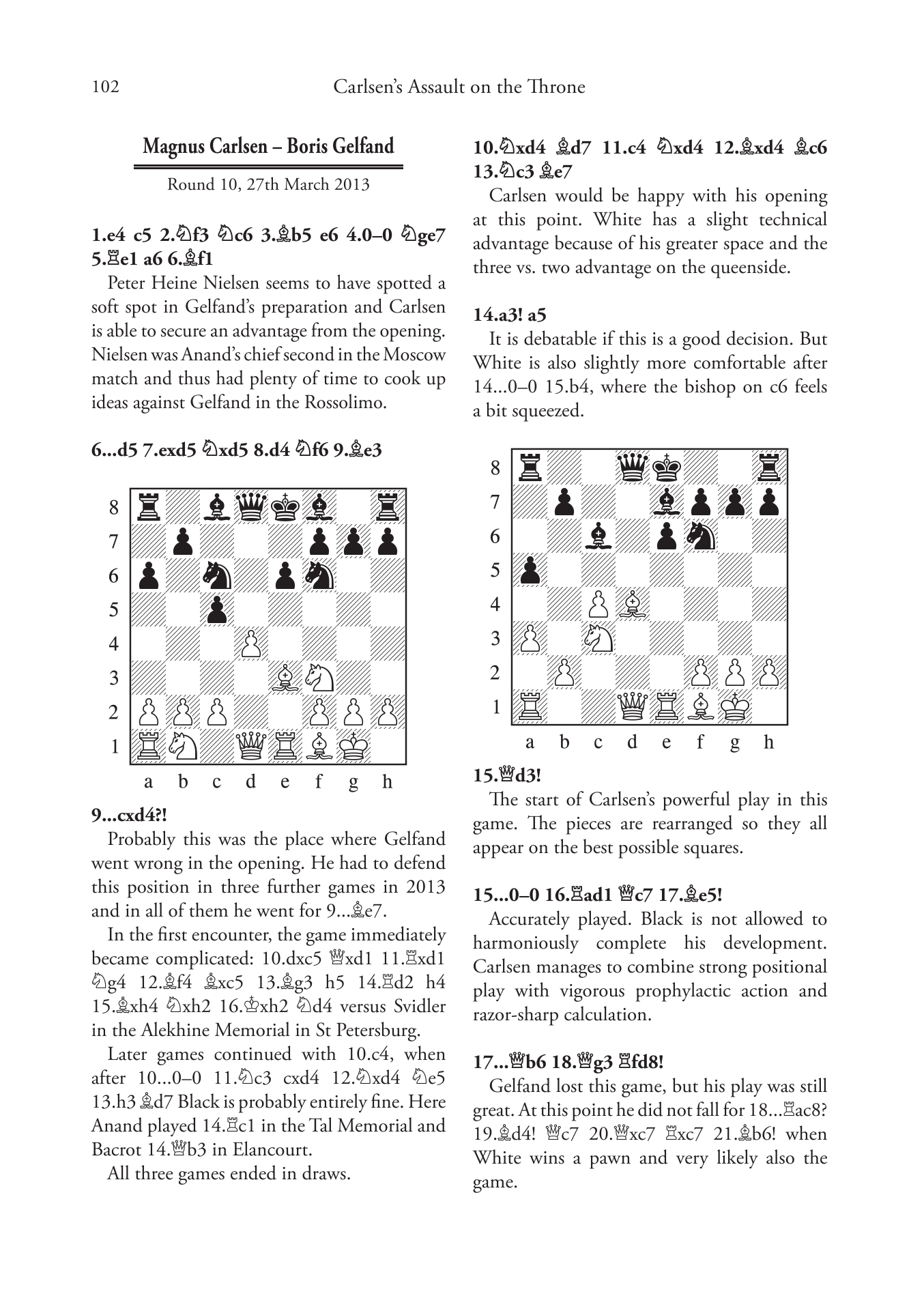
Udział w turniejach szachowych to nie tylko sprawdzian umiejętności, ale i prawdziwa przygoda – emocjonalna, intelektualna i organizacyjna. Jeśli planujesz zadebiutować lub wracasz na szachowe areny, warto wiedzieć, jak się przygotować i co naprawdę dzieje się za kulisami takich wydarzeń.
