








By Sabino Brunello
The Spanish opening, 1.e4 e5 2.Nf3 Nc6 3.Bb5, is so respected that many Black players immediately start defending. Brunello shows that Black can engage in a tense fight for the win right from the start. The three gambits considered in this book have all been tested by top-10 players, with good results, within the last year.
The Marshall Attack,1.e4 e5 2.Nf3 Nc6 3.Bb5 a6 4.Ba4 Nf6 5.0-0 Be7 6.Re1 b5 7.Bb3 0-0 8.c3 d5, is sound and aggressive, so it is no surprise that it is favoured by the world's best. The theory is so complex that an expert guide is required, and Brunello is well suited to the task, having played the Marshall for most of his chess career.
The Schliemann 1.e4 e5 2.Nf3 Nc6 3.Bb5 f5, with its reversed King's Gambit flair, has always been popular with club players, but grandmasters knew it was unsound. Then Teimour Radjabov started playing it successfully against the elite and sparked a revival.
The Gajewski variation, 1.e4 e5 2.Nf3 Nc6 3.Bb5 a6 4.Ba4 Nf6 5.0-0 Be7 6.Re1 b5 7.Bb3 d6 8.c3 0-0 9.h3 Na5 10.Bc2 d5, is brand new. The position after White's tenth move had been reached a thousand times with 10...c5 universally played, when in the summer of 2007 the Polish grandmaster Gajewski revealed that Black has a fascinating gambit at his disposal.
International Master Sabino Brunello is one of the leaders of the youthful revival in Italian chess. Brunello is still a teenager, but his rating is already 2550 and increasing daily. By the time this book is printed he will probably be a grandmaster.
ISBN 978-1906552176 - 288 pages - Published July 15 2009
"Great Gambits: A little-known young Italian, Sabino Brunello (rated 2550!) has written a book about three Spanish Gambits, seen from Black's side: The Schliemann Gambit, the Gajewski and the Marshall Attack. The book fully matches the name of the publishing house, Quality Chess. I am very impressed by the material. If you are in need of an aggressive black repertoire against the Ruy Lopez, it would not be a mistake to throw 24 euros after this book."
GM Sune Berg Hansen
"A good book by an author who tells you everything he knows about the openings. A great debut."
GM Peter Heine Nielsen (Magnus Carlsen's second and Anand's)
"For anyone playing the Spanish from either side, this book is an absolute must buy. My assessment of this book: 5/5."
Carsten Hansen, Chesscafe.com
Nikt jeszcze nie napisał recenzji do tego produktu. Bądź pierwszy i napisz recenzję.
Tylko zarejestrowani klienci mogą pisać recenzje do produktów. Jeżeli posiadasz konto w naszym sklepie zaloguj się na nie, jeżeli nie załóż bezpłatne konto i napisz recenzję.
Czas wysyłki:Natychmiast
Koszt wysyłki:od 10,00 zł
Numer katalogowy:9781906552176
Kod EAN:9781906552176
Waga:0,49 kg
Producent:Wydawnictwo Quality Chess
4 osoby kupiły 4 produkty

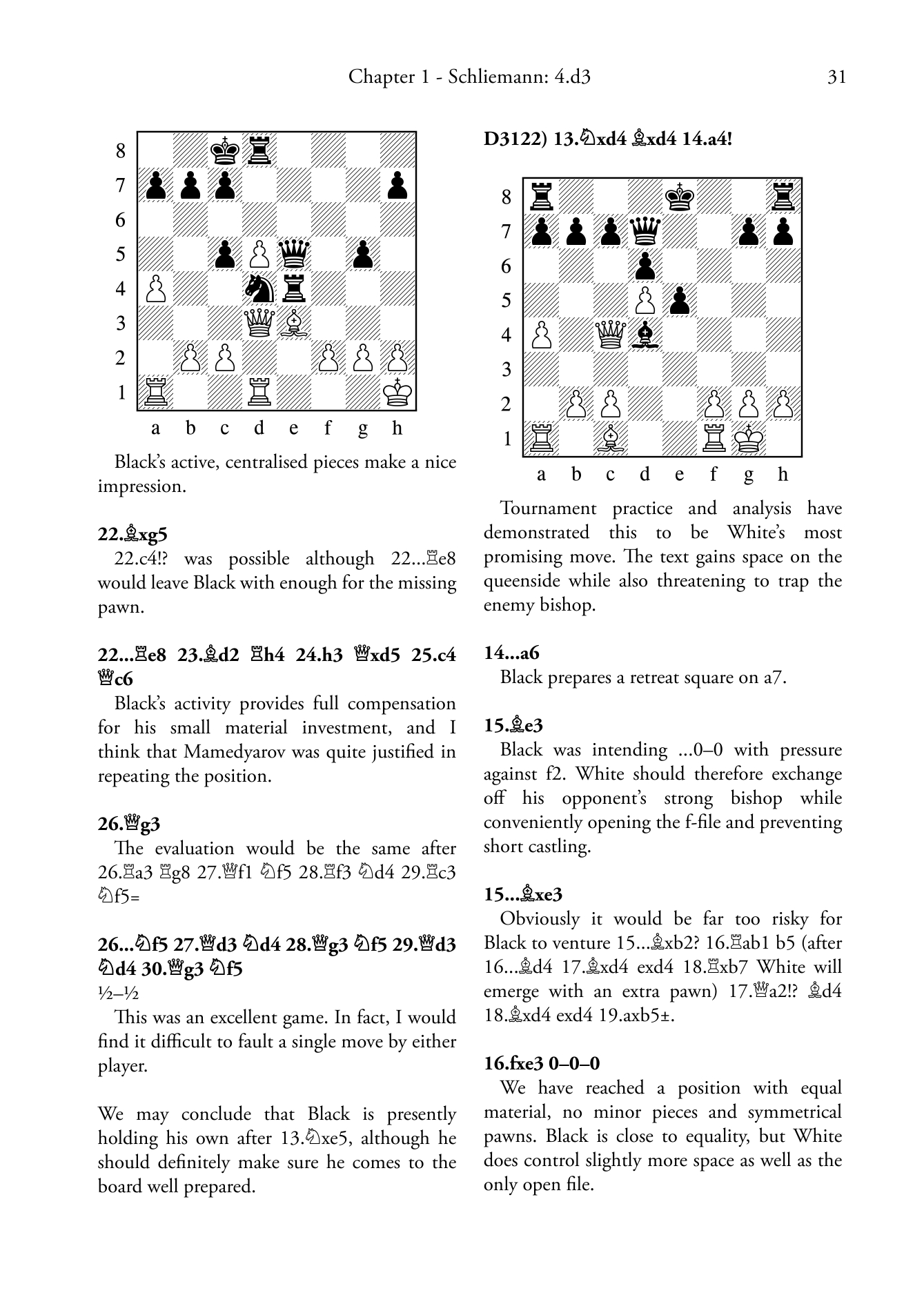
Szachy od wieków fascynują ludzi na całym świecie. Choć wielu osobom wydaje się, że to gra tylko dla mistrzów i geniuszy, prawda jest zupełnie inna. Każdy może nauczyć się grać w szachy, a pierwsze kroki są znacznie prostsze, niż się wydaje. ♟️
Jak przygotować się do turnieju szachowego?♟️ Kulisy gry, której nie widać na szachownicy ✨
Udział w turniejach szachowych to nie tylko sprawdzian umiejętności, ale i prawdziwa przygoda – emocjonalna, intelektualna i organizacyjna. Jeśli planujesz zadebiutować lub wracasz na szachowe areny, warto wiedzieć, jak się przygotować i co naprawdę dzieje się za kulisami takich wydarzeń.
